Work with DAGs in transpiler passes
Tato stránka zatím nebyla přeložena do češtiny. Zobrazujete původní anglickou verzi.
In Qiskit, within the transpilation stages, circuits are represented using a DAG. In general, a DAG is composed of vertices (also known as "nodes") and directed edges that connect pairs of vertices in a particular orientation. This representation is stored using qiskit.dagcircuit.DAGCircuit objects that are composed of individual DagNode objects. The advantage of this representation over a pure list of gates (that is, a netlist) is that the flow of information between operations is explicit, making it easier to make transformation decisions.
This guide demonstrates how to work with DAGs and use them to write custom transpiler passes. It will start with building a simple circuit and examining its DAG representation, then explores basic DAG operations and implements a custom BasicMapper pass.
Build a circuit and examine its DAG
The code snippet below illustrates the DAG by creating a simple circuit that prepares a Bell state and applies an rotation, depending on the measurement outcome.
Package versions
The code on this page was developed using the following requirements. We recommend using these versions or newer.
qiskit[all]~=2.3.0
# Added by doQumentation — required packages for this notebook
!pip install -q qiskit
from qiskit import QuantumRegister, ClassicalRegister, QuantumCircuit
from qiskit.converters import circuit_to_dag
from qiskit.visualization import circuit_drawer
from qiskit.visualization.dag_visualization import dag_drawer
# Create circuit
q = QuantumRegister(3, "q")
c = ClassicalRegister(3, "c")
circ = QuantumCircuit(q, c)
circ.h(q[0])
circ.cx(q[0], q[1])
circ.measure(q[0], c[0])
# Qiskit 2.0 uses if_test instead of c_if
with circ.if_test((c, 2)):
circ.rz(0.5, q[1])
circuit_drawer(circ, output="mpl")
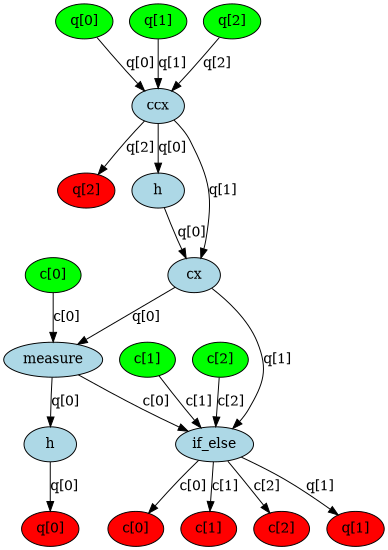
In the DAG, there are three kinds of graph nodes: qubit/clbit input nodes (green), operation nodes (blue), and output nodes (red). Each edge indicates data flow (or dependency) between two nodes. Use the qiskit.tools.visualization.dag_drawer() function to view this circuit's DAG. (Install the Graphviz library to run this.)
# Convert to DAG
dag = circuit_to_dag(circ)
dag_drawer(dag)

Basic DAG operations
The code examples below demonstrate common operations with DAGs, including accessing nodes, adding operations, and substituting subcircuits. These operations form the foundation for building transpiler passes.
Get all operation nodes in the DAG
The op_nodes() method returns an iterable list of DAGOpNode objects in the circuit:
dag.op_nodes()
[DAGOpNode(op=Instruction(name='h', num_qubits=1, num_clbits=0, params=[]), qargs=(<Qubit register=(3, "q"), index=0>,), cargs=()),
DAGOpNode(op=Instruction(name='cx', num_qubits=2, num_clbits=0, params=[]), qargs=(<Qubit register=(3, "q"), index=0>, <Qubit register=(3, "q"), index=1>), cargs=()),
DAGOpNode(op=Instruction(name='measure', num_qubits=1, num_clbits=1, params=[]), qargs=(<Qubit register=(3, "q"), index=0>,), cargs=(<Clbit register=(3, "c"), index=0>,)),
DAGOpNode(op=Instruction(name='if_else', num_qubits=1, num_clbits=3, params=[<qiskit.circuit.quantumcircuit.QuantumCircuit object at 0x7f912f47db10>, None]), qargs=(<Qubit register=(3, "q"), index=1>,), cargs=(<Clbit register=(3, "c"), index=0>, <Clbit register=(3, "c"), index=1>, <Clbit register=(3, "c"), index=2>))]
Each node is an instance of the DAGOpNode class:
node = dag.op_nodes()[3]
print("node name:", node.name)
print("op:", node.op)
print("qargs:", node.qargs)
print("cargs:", node.cargs)
print("condition:", node.op.condition)
node name: if_else
op: Instruction(name='if_else', num_qubits=1, num_clbits=3, params=[<qiskit.circuit.quantumcircuit.QuantumCircuit object at 0x7f912f4ceed0>, None])
qargs: (<Qubit register=(3, "q"), index=1>,)
cargs: (<Clbit register=(3, "c"), index=0>, <Clbit register=(3, "c"), index=1>, <Clbit register=(3, "c"), index=2>)
condition: (ClassicalRegister(3, 'c'), 2)
Add an operation to the back
An operation is added to the end of the DAGCircuit using the apply_operation_back() method. This appends the specified gate to act on the given qubits after all existing operations in the circuit.
from qiskit.circuit.library import HGate
dag.apply_operation_back(HGate(), qargs=[q[0]])
dag_drawer(dag)

Add an Operation to the Front
An operation is added to the beginning of the DAGCircuit using the apply_operation_front() method. This inserts the specified gate before all existing operations in the circuit, effectively making it the first operation executed.
from qiskit.circuit.library import CCXGate
dag.apply_operation_front(CCXGate(), qargs=[q[0], q[1], q[2]])
dag_drawer(dag)

Substitute a node with a subcircuit
A node representing a specific operation in the DAGCircuit is replaced with a subcircuit. First, a new sub-DAG is constructed with the desired sequence of gates, then the target node is substituted by this sub-DAG using substitute_node_with_dag(), preserving the connections to the rest of the circuit.
from qiskit.dagcircuit import DAGCircuit
from qiskit.circuit.library import CHGate, U2Gate, CXGate
# Build sub-DAG
mini_dag = DAGCircuit()
p = QuantumRegister(2, "p")
mini_dag.add_qreg(p)
mini_dag.apply_operation_back(CHGate(), qargs=[p[1], p[0]])
mini_dag.apply_operation_back(U2Gate(0.1, 0.2), qargs=[p[1]])
# Replace CX with mini_dag
cx_node = dag.op_nodes(op=CXGate).pop()
dag.substitute_node_with_dag(cx_node, mini_dag, wires=[p[0], p[1]])
dag_drawer(dag)

After all transformations are completed, the DAG can be converted back into a regular QuantumCircuit object. This is how the transpiler pipeline operates. A circuit is taken, processed in DAG form, and a transformed circuit is produced as output.
from qiskit.converters import dag_to_circuit
new_circ = dag_to_circuit(dag)
circuit_drawer(new_circ, output="mpl")
Implement a BasicMapper pass
The DAG structure can be leveraged for writing transpiler passes. In the example below, a BasicMapper pass is implemented to map an arbitrary circuit onto a device with restricted qubit connectivity. For additional guidance, refer to the guide on writing custom transpiler passes.
The pass is defined as a TransformationPass, meaning that it modifies the circuit. It does so by traversing the DAG layer-by-layer, checking whether each instruction satisfies the constraints imposed by the device's coupling map. If a violation is detected, a swap path is determined and the necessary SWAP gates are inserted accordingly.
When creating a transpiler pass, the first decision involves selecting whether the pass should inherit from TransformationPass or AnalysisPass. Transformation passes are designed to modify the circuit, whereas analysis passes are intended only to extract information for use by subsequent passes. The main functionality is then implemented in the run(dag) method. Finally, the pass should be registered within the qiskit.transpiler.passes module.
In this specific pass, the DAG is traversed layer-by-layer (where each layer contains operations that act on disjoint sets of qubits and can thus be executed independently). For each operation, if the coupling map constraints are not met, a suitable swap path is identified, and the required swaps are inserted to bring the involved qubits into adjacency.
from qiskit.transpiler.basepasses import TransformationPass
from qiskit.transpiler import Layout
from qiskit.circuit.library import SwapGate
class BasicSwap(TransformationPass):
def __init__(self, coupling_map, initial_layout=None):
super().__init__()
self.coupling_map = coupling_map
self.initial_layout = initial_layout
def run(self, dag):
new_dag = DAGCircuit()
for qreg in dag.qregs.values():
new_dag.add_qreg(qreg)
for creg in dag.cregs.values():
new_dag.add_creg(creg)
if self.initial_layout is None:
self.initial_layout = Layout.generate_trivial_layout(
*dag.qregs.values()
)
current_layout = self.initial_layout.copy()
for layer in dag.serial_layers():
subdag = layer["graph"]
for gate in subdag.two_qubit_ops():
q0, q1 = gate.qargs
p0 = current_layout[q0]
p1 = current_layout[q1]
if self.coupling_map.distance(p0, p1) != 1:
path = self.coupling_map.shortest_undirected_path(p0, p1)
for i in range(len(path) - 2):
wire1, wire2 = path[i], path[i + 1]
qubit1 = current_layout[wire1]
qubit2 = current_layout[wire2]
new_dag.apply_operation_back(
SwapGate(), qargs=[qubit1, qubit2]
)
current_layout.swap(wire1, wire2)
new_dag.compose(
subdag, qubits=current_layout.reorder_bits(new_dag.qubits)
)
return new_dag
The pass can now be tested on a small example circuit. A pass manager is constructed with the newly defined pass included. The example circuit is then provided to this pass manager, and a new, transformed circuit is obtained as the output.
from qiskit.transpiler import CouplingMap, PassManager
from qiskit import QuantumRegister, QuantumCircuit
q = QuantumRegister(7, "q")
in_circ = QuantumCircuit(q)
in_circ.h(q[0])
in_circ.cx(q[0], q[4])
in_circ.cx(q[2], q[3])
in_circ.cx(q[6], q[1])
in_circ.cx(q[5], q[0])
in_circ.rz(0.1, q[2])
in_circ.cx(q[5], q[0])
coupling = [[0, 1], [1, 2], [2, 3], [3, 4], [4, 5], [5, 6]]
coupling_map = CouplingMap(couplinglist=coupling)
pm = PassManager()
pm.append(BasicSwap(coupling_map))
out_circ = pm.run(in_circ)
in_circ.draw(output="mpl")
out_circ.draw(output="mpl")
Next steps
- Review the guide on creating a custom transpiler pass
- Learn how to Create and transpile against custom backends
- Try the Compare transpiler settings guide.
- Review the DAG Circuit API documentation.